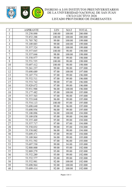
La Universidad Nacional de San Juan publicó el resultado de los exámenes de ingreso a los Institutos PreUniversitarios que dependen de esa Casa de Altos estudios. La coordinación de ingreso 2026 brindó el listado provisorio de los 570 ingresantes a los tres Institutos Preuniversitarios de la UNSJ.

















